Friday, July 13, 2007

Irodov Problem 1.11

Let us refer to the particle that was shot with v1 as P1 and the one that was shot with v2 as P2. Since v1 and v2 are supposed to be in opposite directions we arbitrarily choose v1 as the positive directions and v2 as the negative direction. Further, we assume that gravity acting downwards is the negative direction.

Since, gravity acts vertically downwards, it does not effect the horizontal components of velocities of P1 and P2. However, both P1 and P2 accelerate at equal rates of g downwards from zero initial velocity component downwards.

The velocity of P1 after time t is given by and that of P2 is given by . When the two velocity vectors are perpendicular to each other, the dot product of the vectors will be null, i.e.








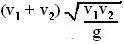
The vertical distance traveled by the P1 and P2 will be identical, thus at any time t the distance between the two particles is only a function of the horizontal components of their positions given by, (v1 + v2)t. Thus, the distance between the two particles when their velocity vectors are mutually perpendicular are given by,

10 comments:

Anonymous said...

Thanks a Lot for putting it up..It really helps us a hell lot..... - debarati-

Anonymous said...

great work
jatin bisht

Siddharth N Meshram said...

Thanks, you solution was simple and neat.

Sandeep Chowdhary said...

thanks dude ...............very helpful!

Anonymous said...

Job well done

Anonymous said...

I have never seen such gr8 solution.
By the way this really helps me a lot.
A lot lot lot lot lot.
Thanks a lot.

Anonymous said...

Thanks .now I think I am grasping kinematics

Anonymous said...

VERY NICE SOLUTIONS

Anonymous said...

A VERY SIMPLE SOLUTION WHICH ONE CAN EASILY UNDERSTAND.THANKS A LOT

K S Manoj said...

Simply great