Saturday, May 31, 2008

Irodov Problem 1.168














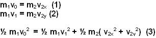
In an perfectly elastic collision and there are no external forces on the system of particles, both energy and momentum are conserved. So we have have (please refer to the figure beside),




From (1) , (2) and (3) we have,




The fraction of energy lost by mass m1 is give by,





b)





In case of a head on collision the two masses will continue to move along the same line. Since the collision is elastic both momentum and energy of the system will be conserved.





From (1) and (2) we have,









The fraction of energy lost by mass m1 is give by,

No comments: